CARIS HIPS and SIPS Help : HIPS and SIPS : HIPS and SIPS Reference : Gridded Surfaces : Uncertainty Weight
 

Uncertainty Weight

The weight that a sounding contributes to a node is inversely proportional to the predicted depth uncertainty of the sounding.

The sounding’s depth uncertainty is scaled as a function of the sounding’s distance from the node. The propagation of the depth uncertainty to the node takes into account the sounding’s distance from the node AND the sounding’s horizontal uncertainty. Thus, both depth uncertainty and horizontal uncertainty play a role in determining the weight a sounding contributes to a node.

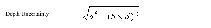
The area of influence is a radius that determines the number of nodes to which the sounding can be applied. This radius is determined by the depth uncertainty of the selected IHO S-44 survey order, using the formula below.

Once the depth uncertainty is propagated beyond the S-44 survey order requirement that has been selected for depth accuracy, it has reached its area of influence limit.

All distance computations are based on the ground coordinate system defined for the surface—they are not simplified to cell distances. All of the nodes within a sounding’s area of influence are located rigorously. No simplified weight matrix scheme is used.